Avand in vedere prevederile art. 36 alin. 1 lit. h), ale art. 50 alin 1 lit. d) si e) si ale art. 51 din Regulamentul de or ganizare si functionare al Camerei Consultantilor Fiscali, aprobat prin Hotararea Consiliului superior al Camerei Consultantilor Fiscali nr. 6/2012, in temeiul prevederilor art. 8 alin. (4), ale art. 10 alin 2 si ale art. 13 lit. c) din Ordonanta Guvernului nr. 71/2001 privind organizarea si exercitarea activitatii de consultanta fiscala, aprobata cu modificari prin Legea nr. 198/2002, cu modificarile si completarile ulterioare, Consiliul superior al Camerei Consultantilor Fiscali, intrunit in sedinta din 17 ianuarie 2013,
h o t a r a s t e:
Art. 1. - Cotizatiile fixe anuale si cotizatiile variabile reprezinta sumele in lei care trebuie achitate de catre membrii Camerei Consultantilor Fiscali - persoane fizice active si inactive si persoane juridice - in vederea mentinerii in Registrul consultantilor fiscali si al societatilor comerciale de consultanta fiscala si a asigurarii accesului la serviciile acordate de Camera Consultantilor Fiscali membrilor acesteia.
Art. 2. - Pentru membrii Camerei Consultantilor Fiscali inregistrati la data prezentei hotarari in Registrul consultantilor fiscali si al societatilor comerciale de consultanta fiscala, pentru anul 2013 se stabilesc urmatoarele cotizatii fixe:
1. pentru persoane fizice:
a) consultanti fiscali activi - 410 lei;
b) consultanti fiscali inactivi - 170 lei;
2. pentru persoane juridice - 350 lei.
Art. 3. - Pentru persoanele fizice si persoanele juridice care devin membri ai Camerei Consultantilor Fiscali in anul 2013 se stabilesc urmatoarele cotizatii fixe:
1. pentru persoane fizice:
a) consultanti fiscali activi - 1.410 lei;
b) consultanti fiscali inactivi - 1.170 lei;
2. pentru persoane juridice - 2.350 lei.
Art. 4. - Pentru anul 2013 se stabilesc urmatoarele cotizatii variabile (aferente veniturilor realizate in anul 2012 din activitatea de consultanta fiscala), care se calculeaza prin aplicarea unei singure cote procentuale asupra cifrei de afaceri, astfel:
1. pentru persoane fizice - o cota unica de 0,35%;
2. pentru persoane juridice:
a) la o cifra de afaceri de pana la 100.000 euro, cota este de 0,35%;
b) la o cifra de afaceri cuprinsa intre 100.001 euro si 1 000 000 euro, cota este de 0,7%;
c) la o cifra de afaceri ce depaseste 1.000.000 euro, cota este de 1,05%.
Art. 5. -
(1) In anul 2013 plata cotizatiilor fixe si variabile datorate de membrii Camerei Consultantilor Fiscali - persoane fizice si persoane juridice - se efectueaza pana la data de 15 martie 2013
(2) Cotizatia variabila pentru consultantii fiscali activi - persoane fizice - se calculeaza din luna urmatoare inregistrarii la Camera Consultantilor Fiscali
(3) Cotizatia variabila pentru societatile de consultanta fiscala se calculeaza incepand cu luna urmatoare autorizarii de catre Biroul permanent al Camerei Consultantilor Fiscali
(4) Membrii Camerei Consultantilor Fiscali - persoane fizice si persoane juridice - isi vor achita cotizatiile variabile anuale in raport cu veniturile obtinute, diminuate cu sumele care au fost cedate subcontractorilor si colaboratorilor consultanti fiscali, membri ai Camerei Consultantilor Fiscali.
Art. 6. -
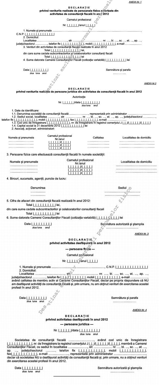
(1) Membrii activi ai Camerei Consultantilor Fiscali - persoane fizice si persoane juridice - au obligatia sa depuna la Camera Consultantilor Fiscali, pana la data de 15 februarie a anului in curs, declaratia privind veniturile realizate in anul precedent de raportare, conform anexelor nr. 1 si 2
(2) In cazul in care consultantii fiscali - persoane fizice active - nu au desfasurat activitate de consultanta fiscala in nume propriu, ci doar in numele sau in contul unei persoane juridice ori nu au desfasurat deloc activitate de consultanta fiscala, vor transmite Camerei Consultantilor Fiscali o declaratie in care vor specifica aceasta situatie, pana la data de 15 februarie a anului in curs, conform anexei nr. 3
(3) Societatile de consultanta fiscala care nu au desfasurat activitate de consultanta fiscala vor transmite Camerei Consultantilor Fiscali o declaratie pana la data de 15 februarie a anului in curs, conform anexei nr. 4.
Art. 7. - Pentru anul 2013, viza anuala pentru exercitarea profesiei de consultant fiscal se acorda daca sunt indeplinite cumulativ urmatoarele conditii:
a) achitarea in intregime a tuturor obligatiilor fata de Camera Consultantilor Fiscali;
b) depunerea declaratiei anuale completate la toate rubricile, conform art. 6;
c) depunerea dovezii privind asigurarea de risc profesional;
d) nu este suspendat dreptul de exercitare a profesiei.
Art. 8. - Plata sumelor datorate reprezentand cotizatii fixe si variabile se poate face in contul Camerei Consultantilor Fiscali, CUI 18677087, deschis la Banca Transilvania, Sucursala Lipscani - IBAN RO36 BTRL 04101202D58602XX, sau in contul deschis la Banca Comerciala Romana, Sucursala Sector 4 - IBAN RO91 RNCB 0075119726870001, precum si in numerar la sediul Camerei Consultantilor Fiscali din municipiul Bucuresti, str. Alecu Russo nr. 13-19, et. 2, ap. 9, sectorul 2.
Art. 9. - Declaratiile prevazute la art. 6 se depun la sediul Camerei Consultantilor Fiscali din municipiul Bucuresti, str. Alecu Russo nr. 13-19, et. 4, ap. 9, sectorul 2, sau se transmit prin servicii postale cu scrisoare recomandata cu confirmare de primire, prin fax la nr. 021/340.40.60 ori prine-mail la adresa: viza@ccfiscali.ro
Art. 10. Membrii Camerei Consultantilor Fiscali - persoane fizice si persoane juridice - care inregistreaza obligatii restante fata de Camera Consultantilor Fiscali si au primit instiintari de plata din partea acesteia le vor achita in termenul specificat in acestea. In toate celelalte situatii termenul de plata a obligatiilor restante este data de 15 martie 2013.
Art. 11. - Nerespectarea dispozitiilor prezentei hotarari se sanctioneaza conform prevederilor art. 19 pct. 1 lit. c) si pct. 2 lit. c) si ale art. 25 alin. (5) din Ordonanta Guvernului nr. 71/2001 privind organizarea si exercitarea activitatii de consultanta fiscala, aprobata cu modificari prin Legea nr. 198/2002, cu modificarile si completarile ulterioare, si ale art. 54 din Regulamentul de organizare si functionare al Camerei Consultantilor Fiscali, aprobat prin Hotararea Consiliului superior al Camerei Consultantilor Fiscali nr. 6/2012.
Art. 12. - Directia de servicii pentru membri si Directia de servicii generale vor duce la indeplinire prevederile prezentei hotarari.
Art. 13. - Anexele nr. 1-4 fac parte integranta din prezenta hotarare.
Art. 14. - Prezenta hotarare se publica in Monitorul Oficial al Romaniei, Partea I.
p. Presedintele Camerei Consultantilor Fiscali, Ion Toni Teau
Bucuresti, 17 ianuarie 2013.
Nr. 2.
Nota: Anexele Hotararii CCF sunt disponibile in fisierul atasat. (imaginile sunt prelucrate de pe www.monitoruloficial.ro)
avocatnet.ro
Comentarii articol (0)